La valeur actuelle nette, plus communément appelée VAN, est un concept relativement simple qui a tendance à être gâché lorsque les gens commencent à se pencher sur les calculs derrière son fonctionnement. Dans cet article, nous expliquerons ce qu'est la VAN, pourquoi elle est importante, comment la calculer lors de l'analyse de l'immobilier commercial et comment utiliser la VAN pour prendre des décisions d'investissement.
Les bases de la valeur actuelle nette
Afin de comprendre le fonctionnement mathématique de la VAN, nous devons d'abord comprendre un concept appelé valeur temporelle de l'argent (TVM). TVM déclare que l’argent dont vous disposez aujourd’hui vaut plus que cette somme d’argent identique à un moment donné dans le futur, pour plusieurs raisons.
L'inflation pourrait diminuer le pouvoir d'achat d'un dollar. Par exemple, si vous disposez de 1,00 $ aujourd’hui et que l’inflation sur une période d’un an est de 3 %, il vous faudrait 1,03 $ à la fin de l’année pour avoir le même pouvoir d’achat que vous avez aujourd’hui avec 1,00 $. Ainsi, un investisseur préférerait avoir 1,00 $ aujourd’hui plutôt que 1,00 $ dans un an.
1,00 $ aujourd’hui pourrait également être investi pour obtenir un taux de rendement (espérons-le) positif. Si un investissement rapporte 5 % d’intérêt, l’investisseur disposera de 1,05 $ à la fin d’un an au lieu de 1,00 $ par an à partir de maintenant.
Le TVM peut être analysé de deux manières. Une méthode consiste à examiner la valeur future de 1,00 $ investi aujourd’hui à un taux d’intérêt spécifié, plus communément appelé « taux d’actualisation » dans le monde financier. L’autre méthode consiste à inverser le calcul et à déterminer combien vaut aujourd’hui 1,00 $ dans un an à un taux d’actualisation spécifié. En d’autres termes, si je souhaite qu’un investissement rapporte 1,00 $ à l’avenir, combien dois-je investir aujourd’hui pour obtenir ce rendement de 1,00 $ ?
La méthode de la valeur actuelle est plus applicable au fonctionnement de la VAN, nous n'examinerons donc que cela et n'entrerons pas dans les détails de la méthode de la valeur future dans cet article. Vous trouverez ci-dessous quelques exemples de formule de valeur actuelle pour comprendre son fonctionnement afin que nous puissions ensuite l'appliquer à la formule NPV.
Valeur actuelle
Le tableau ci-dessous montre un investissement hypothétique qui rapporte 100,00 $ à un investisseur à la fin de chaque année. L'investisseur s'attend à un taux de rendement de 8,0 %. C'est le taux d'actualisation.
Dans ce scénario, l'investisseur veut savoir combien valent aujourd'hui les 100,00 $ reçus à la fin de chaque année étant donné qu'il exige un rendement de 8,0 %. Nous pouvons voir dans le tableau que l'investisseur peut investir 92,59 $ aujourd'hui avec un rendement de 8,0 % pour récupérer 100,00 $ dans un an. Pour un rendement de 100,00 $ à la fin de la deuxième année, l'investisseur peut investir 85,73 $, et ainsi de suite pour les années restantes.
Année 1 | Année 2 | Année 3 | Année 4 | Année 5 | |
|---|---|---|---|---|---|
Des flux de trésorerie | 100,00 $ | 100,00 $ | 100,00 $ | 100,00 $ | 100,00 $ |
Valeur actuelle | 92,59 $ | 85,73 $ | 79,38 $ | 73,50 $ | 68,06 $ |
La formule de la valeur actuelle est la suivante :
Valeur actuelle = Flux de trésorerie / (1+ Taux de rendement) * nombre de périodes
En utilisant la première année du tableau ci-dessus, la formule serait : 92,59 $ = 100 $ / [(1 + 0,08)]1
L'année 2 serait : 85,73 $ = 100 $ / [(1 + 0,08)]2
Le taux d’actualisation détermine la valeur actuelle des flux de trésorerie futurs (c’est-à-dire la valeur actuelle). Le tableau ci-dessous montre la valeur actuelle d'une série de flux de trésorerie de 100,00 $ à la fin de chaque année sur une période de cinq ans à divers taux d'actualisation allant de 6,0 % à 10,0 %.
Comme le montre le tableau, plus le taux d’actualisation attendu par l’investisseur est élevé, plus la valeur actuelle de ces flux de trésorerie futurs est faible. Il s’agit d’une relation importante à comprendre lorsqu’il s’agit de choisir le taux d’actualisation sur une propriété spécifique.
Année 1 | Année 2 | Année 3 | Année 4 | Année 5 | |
|---|---|---|---|---|---|
PV = 6% | 94,34 $ | 89,00 $ | 83,96 $ | 79,21 $ | 74,73 $ |
PV = 7% | 93,46 $ | 87,34 $ | 81,63 $ | 76,29 $ | 71,30 $ |
PV = 8 % | 92,59 $ | 85,73 $ | 79,38 $ | 73,50 $ | 68,06 $ |
PV = 9 % | 91,74 $ | 84,17 $ | 77,22 $ | 70,84 $ | 64,99 $ |
PV = 10 % | 90,91 $ | 82,64 $ | 75,13 $ | 68,30 $ | 62,09 $ |
Le concept de valeur actuelle nette
Maintenant que nous avons couvert le TVM, nous pouvons examiner le lien entre ce concept et la détermination de la VAN d’une propriété.
Lorsqu’un investisseur achète une propriété, il obtient généralement un taux de rendement qu’il souhaite atteindre en étant propriétaire de la propriété. Si le rendement estimé d’une propriété est supérieur au taux de rendement requis par l’investisseur, celui-ci doit alors acheter la propriété.
Si le taux de rendement est inférieur à celui exigé par l’investisseur, celui-ci ne doit pas acheter la propriété. Comme mentionné ci-dessus, ce taux de rendement est souvent appelé « taux d’actualisation ».
La VAN d'un investissement fait référence à l'investissement initial qu'un investisseur réalise dans une propriété, moins la somme de tous les flux de trésorerie futurs actualisés au taux d'actualisation choisi par l'investisseur.
Nous allons examiner un exemple simple et ajouter lentement des composants afin que toutes les entrées soient claires avant de discuter de la formule mathématique de la VAN (qui est en réalité une simple extension de la formule de la valeur actuelle que nous avons explorée plus tôt).
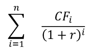
En élargissant la formule de valeur actuelle que nous avons utilisée précédemment, la formule VAN nécessite que l'on additionne la valeur actuelle de tous les flux de trésorerie futurs attendus sur la propriété, comme nous pouvons le voir ci-dessous.
Année 1 | Année 2 | Année 3 | Année 4 | Année 5 | Total | |
|---|---|---|---|---|---|---|
Des flux de trésorerie | 100,00 $ | 100,00 $ | 100,00 $ | 100,00 $ | 100,00 $ | 500 $ |
Valeur actuelle | 92,59 $ | 85,73 $ | 79,38 $ | 73,50 $ | 68,06 $ | 399,27 $ |
La somme de la valeur actuelle des flux de trésorerie de chaque année est de 399,27 $. Ainsi, si un investisseur prévoit recevoir un total de 500,00 $ sur une période de cinq ans (100,00 $ chaque année) et s'attend à obtenir un rendement de 8,0 %, l'investisseur peut investir 399,27 $ aujourd'hui dans cet investissement.
Mathématiquement, la formule est :
n = nombre total de périodes (dans le tableau ci-dessus, ce serait 5)
i = période, où la période commence à la valeur 1
CF = CF en fin de période
r = taux de rendement

Cette formule est beaucoup plus simple qu’il n’y paraît, alors décomposons-la rapidement. En termes simples, cette formule consiste à obtenir la valeur actuelle des flux de trésorerie attendus pour chaque année au cours de la période de détention, puis à les additionner tous ensemble.
Le « n » fait référence au nombre total de périodes dans la durée de vie de l’investissement (dans ce cas, nous utilisons 5 ans). Le « i » fait référence à l’année individuelle analysée. Par exemple, l'année 1, le « i » serait « 1 » et signifierait le flux de trésorerie (CF) de l'année 1 avec un exposant de « 1 » au dénominateur de la formule. Au cours de l'année 2, le « i » représenterait le FC de l'année 2 avec un exposant de « 2 » au dénominateur de la formule. Comme auparavant, le « r » reste le taux d’actualisation choisi par l’investisseur.
L'étape suivante du processus VAN consiste à trouver la différence entre les valeurs actuelles sommées des flux de trésorerie de chaque année et le montant initial investi dans le projet (notez ici que l'investissement initial est généralement un nombre négatif indiquant que l'argent sort) . Le montant initial d’un bien immobilier correspond généralement aux capitaux propres plus les coûts que l’investisseur investit dans la propriété lors de l’acquisition.
NPV = – (Investissement initial) + (somme des valeurs actuelles de chaque période)
C’est là que l’importance de la VAN entre en jeu. Trois résultats sont possibles lors de la détermination de la VAN d’une propriété :
La VAN est exactement nulle. Cela signifie que l’investisseur peut s’attendre à obtenir le taux de rendement exact, ou taux d’actualisation, qu’il a spécifié comme requis pour le projet.
La VAN est un nombre positif supérieur à zéro. Cela signifie que l’investisseur peut s’attendre à obtenir un rendement supérieur au taux d’actualisation qu’il a spécifié comme requis pour le projet.
La VAN est un nombre négatif. Cela signifie que l’investisseur peut s’attendre à obtenir un rendement inférieur au taux d’actualisation qu’il a spécifié comme requis pour le projet.
En utilisant toujours le tableau ci-dessus qui nous donne une somme de la valeur actuelle de tous les flux de trésorerie de 399,27 $, nous examinerons un exemple de chacun des trois résultats.
Scénario | Investissement initial | VA des flux de trésorerie | VAN |
|---|---|---|---|
Zéro | 399,27 $ | 399,27 $ | 0,00 $ |
Positif | 375,00 $ | 399,27 $ | 24,27 $ |
Négatif | 425,00 $ | 399,27 $ | -25,73$ |
Prise de décision en utilisant la valeur actuelle nette
Il devrait être assez clair que les investisseurs ne devraient investir dans des propriétés que si les flux de trésorerie attendus sur la propriété offrent une VAN nulle ou positive. Plus la VAN est élevée, mieux c'est pour l'investisseur.
Espérons que le processus de détermination et d’utilisation de la VAN comme critère dans le processus de prise de décision d’investissement ait désormais plus de sens. Cependant, même si les formules et les calculs sont relativement simples, comme pour tout ce qui concerne l'immobilier, l'efficacité de la réalisation d'une analyse VAN dépend fortement des hypothèses formulées par l'analyste lors de la construction du modèle.
Ci-dessous, nous examinons brièvement certaines des choses dont un analyste doit être conscient avant de s'appuyer pleinement sur un modèle VAN.
Les pièges des hypothèses de valeur actuelle nette
Il existe plusieurs entrées dans le calcul de la VAN qui sont subjectives et très incertaines au début de la période de détention d'une propriété. De nombreux éléments doivent être pris en compte pour déterminer l’impact des changements dans les conditions du marché sur la propriété, mais en fin de compte, le rendement final obtenu par un investisseur pourrait différer considérablement de celui prévu lors de l’analyse initiale.
Le premier exemple de ces données subjectives et incertaines concerne les flux de trésorerie attendus. Il est très difficile, voire impossible, de prévoir avec précision les flux de trésorerie exacts qui seront reçus chaque année pendant la période de détention de la propriété. Même s’il est peut-être plus facile de prédire la première ou les deux premières années, les prévisions deviennent ensuite plus incertaines.
Un deuxième problème consiste à déterminer le taux d’actualisation. Un investisseur choisit généralement un taux d’actualisation adapté aux conditions économiques et immobilières actuelles. Cependant, ces conditions changeront très probablement avec le temps pour plusieurs raisons.
Par exemple, si un investisseur choisit d'évaluer la propriété lorsque les taux d'intérêt sont de 4,0 % et décide qu'un taux d'actualisation acceptable pour la propriété est de 8,0 %, l'investisseur se sentira mieux si les taux d'intérêt chutent par la suite à 3,0 %, offrant ainsi un écart supplémentaire. entre le rendement que l'investisseur pourrait obtenir sur le marché actuel et le rendement qu'il obtient actuellement sur la propriété. A l’inverse, si les taux d’intérêt augmentent jusqu’à 7,0 %, un taux d’actualisation de 8,0 % sur le bien immobilier n’est plus aussi attractif qu’avant.
De nombreux éléments doivent être pris en compte pour déterminer l’impact des changements dans les conditions du marché sur la propriété, mais il convient de retenir que le rendement final obtenu par un investisseur pourrait varier considérablement de celui prévu lors de l’analyse initiale.
Conclusion
D'autres méthodes, comme le taux de rendement interne, sont utiles lorsque l'investissement initial est connu. La VAN est cependant un outil essentiel pour aider les investisseurs à déterminer le montant à investir dans une propriété lorsque les flux de trésorerie attendus sont plus facilement disponibles.
Les analystes doivent explorer la certitude des flux de trésorerie de la propriété et des conditions du marché pour atteindre un niveau de confiance plus élevé dans l'exactitude de l'analyse de la VAN, tout en indiquant également les risques liés aux hypothèses qui pourraient avoir un impact négatif sur la VAN de la propriété.
Vous souhaitez être informé de nos nouveaux contenus, articles et événements CRE pertinents ?
Auteur

Groupe Altus
Auteur

Groupe Altus
Ressources
Dernières informations

mars 12, 2026
L’évaluation des biens immobiliers commerciaux a dépassé les processus traditionnels : est-il temps d’adopter une nouvelle approche ?

févr. 26, 2026
Comment les gestionnaires de fonds peuvent favoriser la transparence grâce à des flux de travail connectés

févr. 26, 2026
560 milliards de raisons expliquent la reprise du marché immobilier commercial américain.

mars 12, 2026
L’évaluation des biens immobiliers commerciaux a dépassé les processus traditionnels : est-il temps d’adopter une nouvelle approche ?

févr. 26, 2026
Comment les gestionnaires de fonds peuvent favoriser la transparence grâce à des flux de travail connectés

févr. 26, 2026
560 milliards de raisons expliquent la reprise du marché immobilier commercial américain.

févr. 18, 2026
Comment les gestionnaires de fonds reprennent le contrôle du récit de leur portefeuille


févr. 3, 2026
